How Pixi addresses common research and AI computing challenges
Center for Quantitative Life Sciences, Oregon State University
2025-11-12
The Center for Quantitative Life Sciences
To understand the problem, let’s define the key terms
What is conda?
An open-source system for managing packages and environments. It isolates project software to prevent conflicts, like creating a separate, clean workspace for each analysis.
What are Packages?
Bundles of software. conda installs pre-compiled binaries, which is much easier than compiling from source. Examples: python, numpy, samtools.
What are Channels?
The repositories where packages are stored. You tell conda which channels to search.
conda-forge: A massive, community-led collection of packages (most common).bioconda: A specialized channel for bioinformatics software.In computational research, software environments are a foundation of reproducible science.
Common scenarios we encounter:
The Impact on Research
Prior to implementing pixi-based environments, conda package issues routinely hindered research projects on our infrastructure.
The underlying issue: Traditional tools, while powerful, present challenges for researchers whose focus should be on science, not system administration.
Conda has been a de facto standard, but researchers face several hurdles:
environment.yml files do not guarantee true reproducibility across time or platforms due to differences in package availability at install time.This points to a need for tools that prioritize speed, reliability, and guaranteed reproducibility.
Pixi represents a new generation of environment tools designed with research workflows in mind.
Core architecture:
pixi.lock) ensure identical environments.A Measurable Performance Difference
Pixi’s Rust-based solver offers a significant performance increase over both conda and mamba, often turning minutes of waiting into seconds.
Let’s establish a computational biology project with common tools.
Adding software from conda-forge and bioconda:
Adding PyPI packages when needed:
What’s Happening Under the Hood
Pixi is resolving dependencies across conda-forge, bioconda, and PyPI into a single, consistent lock file. The --pypi flag tells it to source from PyPI directly.
You can then use pixi shell to enter the environment, or use pixi run (optionally with tasks, see later) to run commands in the environment.
Track your project and its dependencies with git:
File organization created by Pixi:
genomics-analysis/
├── pixi.toml # Human-readable project specification
├── pixi.lock # Machine-generated, exact dependency versions
├── .gitattributes # Ensures correct diffs for the lock file
├── .gitignore # .pixi directory is ignored by default
└── .pixi/ # Local environment (not version controlled)
Pixi’s Reproducibility Advantage
The pixi.lock file is what makes this work. It contains exact versions and file hashes, guaranteeing that pixi install creates an identical environment, every time.
Add task definitions to pixi.toml for automation:
Running tasks is now simple and declarative:
These tasks can easily integrate with queuing systems such as Slurm, as the tasks will run using dependencies from within the environment. No Conda activation needed within your Slurm scripts.
Lab Management Tip
Tasks serve as executable documentation, making it easy for lab members to run complex workflows without remembering command-line arguments.
Finding the right CUDA-capable software package can be difficult and time-consuming.
Pixi can simplify your approach:
[system-requirements]
cuda = "12.0" # Set cuda to major cuda version
[dependencies]
cuda-version = "12.6.*" # Restrict to a specific cuda version in dependencies
pytorch-gpu = "*" # The conda-forge package handles the rest (recommended)
[pypi-dependencies] # Alternative if conda-forge package doesn't work
torch = { version = "*", index = "https://download.pytorch.org/whl/cu124" }Pixi is designed to intelligently navigate the existing world of Conda and PyPI packages.
Dependency Resolution Strategy:
conda-forge and bioconda.Managing Your Personal Toolkit:
For tools you use across all projects, use pixi global.
The pressure to “just get it done” often pushes good software practices to the back burner.
The common, painful workflow:
This last-minute rush leads to incomplete and fragile reproducibility.
Pixi makes reproducibility an integral part of the research process from the start.
Unify Code & Environment: pixi configuration lives alongside your analysis scripts in git. The environment is the project.
Eliminate Environment Drift: The pixi.lock file guarantees an identical software environment for anyone, anytime, on any machine.
Publish with Confidence: Your project is a “publication-ready” reproducible artifact from day one. Archive on a service like Zenodo to make it citable and verifiable.
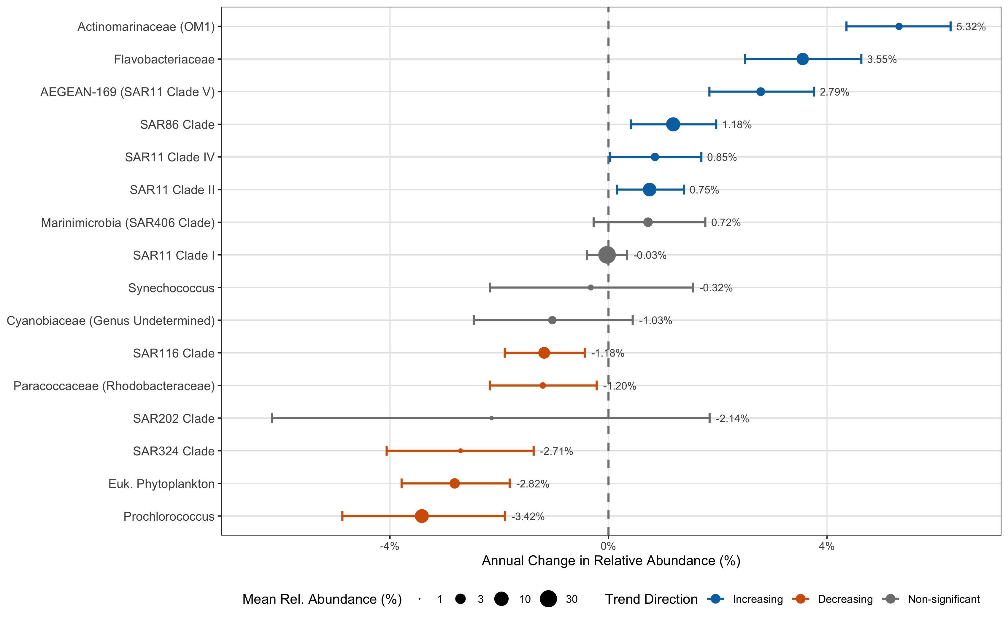
We are analyzing 16S microbiome data from a 30 year time series
pixi init ltt
cd ltt
mkdir raw src rds fig # make directory strucure
➜ pixi add r-base r-ggplot2 r-dplyr r-forcats r-cowplot
✔ Added r-base >=4.5.2,<4.6
✔ Added r-ggplot2 >=4.0.0,<5
✔ Added r-dplyr >=1.1.4,<2
✔ Added r-forcats >=1.0.1,<2
✔ Added r-cowplot >=1.2.0,<2
➜ lsd --tree
.
├── fig # finished figures
├── pixi.lock # deterministic package definition
├── pixi.toml # pixi environment specifications
├── raw # symlinked raw data (do not edit)
├── rds # R data files (intermediate outputs)
└── src # R source codesrc directorylibrary(ggplot2)
library(dplyr)
library(forcats)
dat <- readRDS(file.path("rds", "dat.rds")) |>
mutate(
decimal_time_midpoint = decimal_time - median(decimal_time)
)
mean_total <- dat |> pull(total) |> mean()
results <- readRDS(
file.path(
"rds",
"posterior_summaries.rds"
)
) |>
mutate(relabd = mean_abundance / mean_total * 100)
all_predictions <- readRDS(
file.path(
"rds",
"predictions_combined.rds"
)
)
fig.labs <- tribble(
~taxon ,
~label ,
"SAR11 Clade_I" ,
"SAR11 Clade I" ,
"SAR86_clade" ,
"SAR86 Clade" ,
"Prochlorococcus_MIT9313" ,
"Prochlorococcus" ,
"SAR11 Clade_II" ,
"SAR11 Clade II" ,
"Flavobacteriaceae" ,
"Flavobacteriaceae" ,
"SAR116_clade" ,
"SAR116 Clade" ,
"Chloroplast Order" ,
"Euk. Phytoplankton" ,
"Marinimicrobia_(SAR406_clade) Phylum" ,
"Marinimicrobia (SAR406 Clade)" ,
"AEGEAN-169_marine_group" ,
"AEGEAN-169 (SAR11 Clade V)" ,
"SAR11 Clade_IV" ,
"SAR11 Clade IV" ,
"SAR11 Clade_III" ,
"SAR11 Clade III" ,
"Cyanobiaceae Family" ,
"Cyanobiaceae (Genus Undetermined)" ,
"Actinomarinaceae" ,
"Actinomarinaceae (OM1)" ,
"Synechococcus_CC9902" ,
"Synechococcus" ,
"Paracoccaceae" ,
"Paracoccaceae (Rhodobacteraceae)" ,
"SAR202_clade Order" ,
"SAR202 Clade" ,
"SAR324_clade(Marine_group_B) Phylum" ,
"SAR324 Clade"
) |>
mutate(label = factor(label, levels = label))
results <- results |>
left_join(fig.labs)
dat <- dat |>
left_join(fig.labs, by = join_by(analysis_level == taxon))
all_predictions <- all_predictions |>
left_join(fig.labs, by = join_by(analysis_level == taxon))
plot_temporal_percent_change <- function(
results_df,
n_top = 20,
criterion = "mean_abundance"
) {
top_results <- results_df |>
filter(status == "success") |>
arrange(desc(.data[[criterion]])) |>
slice(1:n_top) |>
mutate(
percent_change = (exp(Median) - 1) * 100,
percent_change_low = (exp(CI_low) - 1) * 100,
percent_change_high = (exp(CI_high) - 1) * 100,
percent_change_label = sprintf("%.2f%%", percent_change),
label = fct_reorder(label, percent_change),
trend_direction = case_when(
CI_low > 0 & CI_high > 0 ~ "Increasing",
CI_low < 0 & CI_high < 0 ~ "Decreasing",
TRUE ~ "Non-significant"
),
trend_direction = factor(
trend_direction,
levels = c("Increasing", "Decreasing", "Non-significant")
)
)
ggplot(top_results, aes(x = percent_change, y = label)) +
geom_vline(
xintercept = 0,
linetype = "dashed",
color = "gray50",
linewidth = 0.8
) +
geom_errorbar(
aes(
xmin = percent_change_low,
xmax = percent_change_high,
color = trend_direction
),
width = 0.3,
linewidth = 0.8
) +
geom_point(aes(color = trend_direction, size = relabd)) +
geom_text(
aes(label = percent_change_label, x = percent_change_high),
hjust = -0.2,
size = 3,
color = "gray30"
) +
scale_size_area(
name = "Mean Rel. Abundance (%)",
trans = "log10",
breaks = c(1, 3, 10, 30),
labels = c("1", "3", "10", "30")
) +
scale_color_manual(
name = "Trend Direction",
values = c(
"Increasing" = "#0072B2",
"Decreasing" = "#D55E00",
"Non-significant" = "gray50"
)
) +
scale_x_continuous(
labels = function(x) paste0(x, "%"),
expand = expansion(mult = c(0.075, 0.075))
) +
labs(
x = "Annual Change in Relative Abundance (%)",
y = NULL
) +
theme_bw() +
theme(
panel.grid.major.y = element_line(color = "gray90"),
panel.grid.minor = element_blank(),
axis.text.y = element_text(size = 10),
legend.position = "bottom"
) +
guides(color = guide_legend(override.aes = list(size = 3)))
}
p_percent_change <- plot_temporal_percent_change(results, n_top = 16)
message("Saving Figure_1.png to fig directory")
cowplot::save_plot(
file.path(
"fig",
"Figure_1.png"
),
plot = p_percent_change,
base_height = 7,
dpi = 300,
bg = "white"
)
plot_top_taxa_faceted <- function(
data,
predictions,
results_df,
n_top = 20,
criterion = "mean_abundance",
log_scale = FALSE
) {
time_offset <- median(data$decimal_time, na.rm = TRUE)
top_taxa_info <- results_df |>
filter(status == "success") |>
arrange(desc(.data[[criterion]])) |>
slice(1:n_top) |>
mutate(
trend_direction = case_when(
CI_low > 0 & CI_high > 0 ~ "Increasing",
CI_low < 0 & CI_high < 0 ~ "Decreasing",
TRUE ~ "Non-significant"
),
trend_direction = factor(
trend_direction,
levels = c("Increasing", "Decreasing", "Non-significant")
)
) |>
dplyr::select(taxon, trend_direction)
top_taxa_names <- top_taxa_info |> pull(taxon)
plot_data <- data |>
filter(analysis_level %in% top_taxa_names) |>
left_join(top_taxa_info, by = join_by(analysis_level == taxon)) |>
mutate(
relab_pct = Abundance / total * 100,
year_original = decimal_time_midpoint + time_offset
)
plot_preds <- predictions |>
filter(analysis_level %in% top_taxa_names) |>
left_join(top_taxa_info, by = join_by(analysis_level == taxon)) |>
mutate(
pred_relab_pct = Estimate / total * 100,
lower_pct = Q2.5 / total * 100,
upper_pct = Q97.5 / total * 100,
year_original = decimal_time_midpoint + time_offset
)
p <- ggplot(plot_preds, aes(x = year_original)) +
geom_ribbon(
aes(ymin = lower_pct, ymax = upper_pct, fill = trend_direction),
alpha = 0.3
) +
geom_line(
aes(y = pred_relab_pct, color = trend_direction),
linewidth = 1
) +
geom_point(
data = plot_data,
aes(y = relab_pct),
alpha = 0.4,
size = 1,
color = "gray20"
) +
facet_wrap(~label, scales = "free_y", ncol = 4) +
scale_color_manual(
name = "Trend Direction",
aesthetics = c("fill", "color"),
values = c(
"Increasing" = "#0072B2",
"Decreasing" = "#D55E00",
"Non-significant" = "gray50"
)
) +
labs(
x = "Year",
y = "Relative Abundance (%)"
) +
theme_bw() +
theme(
strip.text = element_text(size = 8),
legend.position = "bottom",
axis.text.x = element_text(angle = 45, hjust = 1)
)
if (log_scale) {
p <- p + scale_y_log10(labels = scales::label_number(accuracy = 0.01))
}
# Ensure the x-axis breaks are clean whole numbers for years
p +
scale_x_continuous(
breaks = c(1992, 1994, 1998, 2004, 2009, 2013, 2017, 2020)
)
}
# Example of how to use the updated function
p_faceted <- plot_top_taxa_faceted(dat, all_predictions, results, n_top = 16)
message("Saving Figure_2.png to fig directory")
ggsave(
file.path(
"fig",
"Figure_2.png"
),
plot = p_faceted,
width = 16,
height = 12,
dpi = 300
)You can use the pixi-managed R in your VS-Code or Positron editor to have a full IDE experience as well
➜ Rscript src/figures.R
Error in library(ggplot2) : there is no package called ‘ggplot2’
Execution haltedpixi to run➜ pixi run Rscript src/figures.R
Attaching package: ‘dplyr’
The following objects are masked from ‘package:stats’:
filter, lag
The following objects are masked from ‘package:base’:
intersect, setdiff, setequal, union
Joining with `by = join_by(taxon)`
Saving Figure_1.png to fig directory
Saving Figure_2.png to fig directoryThe Challenge: Manually tracking software for publications is tedious and error-prone, creating a barrier to truly reproducible science.
Pixi’s Solution: The pixi.lock file is committed to your git repository alongside your analysis scripts, creating a single source of truth.
Guaranteed Consistency: This lock file captures the exact versions of every package, ensuring that you, your collaborators, or reviewers can perfectly recreate the software environment with a simple pixi install.
Streamlined Publication: When you publish your work, the repository becomes a fully reproducible artifact. Others can run your analysis and generate the exact same figures, strengthening the impact of your research.
The Core Benefit
Pixi transforms reproducibility from a difficult, manual task into an integrated, automated part of the research workflow.
We needed to reliably benchmark disk performance across our HPC storage systems. This presented several challenges:
io500) must be compiled from source with specific compilers and libraries like OpenMPI.Manually managing this process would be time-consuming and highly prone to error.
Pixi provided a self-contained, reproducible recipe for the entire benchmark suite, solving all our key challenges.
Automated Build System: pixi tasks automated the entire workflow: downloading the source code, applying patches, and compiling the benchmark with the correct environment variables.
Guaranteed Reproducibility: A team member could simply clone the repository and run pixi install. The pixi.lock file ensured they got the exact same build environment and tools.
Isolated Dependencies: Using pixi environments (e.g., bench and report), we kept the complex C++/MPI build dependencies completely separate from the Python-based data analysis tools, preventing conflicts.
This project includes compiled software and shell scripts to benchmark disk speed
➜ lsd --tree --depth 1
.
├── aggregate_results.py
├── aggregated_results.csv
├── config-nfs.ini
├── config-ssd.ini
├── config-test.ini
├── config.ini
├── gather_all_node_metadata.sh
├── gather_node_metadata.sh
├── io500
├── io500_analysis.qmd
├── io500_results
├── io500_wrapper.sh
├── opt
├── patch
├── pixi.lock
├── pixi.toml
├── README.md
└── reprocess_all_results.shpixi.toml Setup[project]
authors = ["Edward Davis <ed@cqls.oregonstate.edu>"]
channels = ["conda-forge", "bioconda"]
name = "hpc-disk-bench"
platforms = ["linux-64"]
version = "0.1.0"
[activation.env]
PATH = "${PIXI_PROJECT_ROOT}/opt/bin:${PATH}"
LD_LIBRARY_PATH = "${CONDA_PREFIX}/lib:${LD_LIBRARY_PATH}"
XDG_RUNTIME_DIR = "/${TMPDIR}/${USER}/run"
PREFIX = "${PIXI_PROJECT_ROOT}/opt"
[dependencies]
python = ">=3.14.0,<3.15"
[tasks]
aggregate = "aggregate_results.py io500_results"
[feature.bench.dependencies]
gnutls = ">=3.8.9,<4"
pkg-config = ">=0.29.2,<0.30"
openmpi = ">=5.0.8,<6"
compilers = ">=1.11.0,<2"
make = ">=4.4.1,<5"
autoconf = ">=2.72,<3"
[feature.report.dependencies]
pandas = ">=2.3.3,<3"
plotly = ">=6.3.1,<7"
quarto = ">=1.8.25,<2"
jupyterlab = ">=4.4.9,<5"
seaborn = ">=0.13.2,<0.14"
tabulate = ">=0.9.0,<0.10"
[feature.report.tasks]
render = "quarto render io500_analysis.qmd"
[feature.bench.tasks]
dl-io500 = "git clone https://github.com/IO500/io500.git && cd io500 && patch -p1 prepare.sh < ../patch/prepare.patch"
clean-io500 = "rm -rf io500"
test-io500 = "mpirun io500 config-test.ini"
[feature.bench.tasks.install-io500]
env = { CC = "mpicc" }
args = [{"arg" = "jobs", "default" = "1"}]
cmd = "mkdir -p opt && cd io500 && bash ./prepare.sh && make -j {{ jobs }} && install -m 755 io500 io500-verify $PREFIX/bin"
[environments]
report = ["report"]
bench = ["bench"]pixi tasks
Tasks in pixi help facilitate running routine commands, e.g. dl for downloading, build for building software, etc. They are like shell scripts, but they can depend on other tasks so your install command can depend on the dl and build commands.
Find out more about pixi tasks here.
pixi Environments Help Isolate Dependenciespixi environments
Environments allow for different dependencies for each feature, which means if you need different versions of the same software for different parts of your workflow, you can do that! And if you set up the tasks per environment, you can just use pixi run to get the correct dependencies.
Find out more about pixi environments here.
pixi Environment Specificationshpc-disk-bench repo is on our gitlabpixi is installed on each clusterpixi install to install the dependencies
pixi.lock file will be installedpixi run io500 to run the io500 benchmark toolpixi run python aggregate_results.py to aggregate the resultspixi run render to generate the reportpixi Reduces Labor Costs and Software Conflictspixi run ... syntax makes it easy to ensure the dependencies are correctpixi tasks, e.g. pixi render instead of having to remember the quarto syntaxReport
Check out the report here
The Challenge: Deploying and running compiled, multi-dependency software consistently across a shared HPC environment is a significant hurdle for reproducible research.
Pixi’s Solution: Pixi manages the entire software lifecycle from compilation to execution. It can act as a portable build system that codifies dependencies and automates complex build steps using tasks.
Separation of Concerns: pixi environments allow you to isolate distinct project dependencies (e.g., building vs. analyzing), preventing conflicts and keeping the project clean.
The Real Impact
This transforms a complex, error-prone deployment task into a simple git clone and pixi install. It guarantees that every benchmark is identical, leading to reliable results while drastically reducing setup time and support load.
Tools like Ollama have made it incredibly easy to run large language models on personal machines. They are fantastic for local experimentation and getting started quickly.
However, for a shared, multi-user HPC environment, we need more:
This is where vLLM excels, offering a high-performance serving engine. The trade-off is a more complex installation process with specific GPU, CUDA, and PyPI dependencies.
pixi.toml.Managing Sensitive Information
While pixi.toml is great for public configuration, sensitive data like API keys should not be committed to git. Store these in a .env file and add that file to your .gitignore if the repo is going to be stored in an external repository.
pixipixi supports both conda-style packages and those from PyPI
[workspace]
authors = ["Edward Davis <ed@cqls.oregonstate.edu>"]
channels = ["conda-forge", "bioconda"]
name = "vllm"
platforms = ["linux-64"]
version = "0.1.0"
[system-requirements]
cuda = "12.0"
[tasks]
[dependencies]
python = "3.12.*"
[pypi-dependencies]
torch = { version = "*", index = "https://download.pytorch.org/whl/cu128" }
torchvision = { version = "*", index = "https://download.pytorch.org/whl/cu128" }Note
Make sure to add a python version, e.g. pixi add python=3.12 as above before trying to install PyPI dependencies or you will get an error message.
Tip
Since v0.10.2, vllm supports python wheels for aarch64 cpu arch, including Grace Hopper machines, making LLM serving from those machines even easier.
[workspace]
authors = ["Edward Davis <ed@cqls.oregonstate.edu>"]
channels = ["conda-forge", "bioconda"]
name = "vllm"
platforms = ["linux-64"]
version = "0.1.0"
[system-requirements]
cuda = "12.0"
[activation.env]
XDG_DATA_HOME = "/scratch/davised/storage"
XDG_CONFIG_HOME = "/scratch/davised/config"
XDG_CACHE_HOME = "/scratch/davised/cache"
[tasks]
[tasks.serve]
args = [
{ arg = "model", default = "ibm-granite/granite-4.0-micro" },
{ arg = "maxlen", default = "64K" },
{ arg = "memory", default = "0.95" },
{ arg = "offload", default = "0" },
{ arg = "api_key", default = "cqls-test-api" },
{ arg = "host", default = "0.0.0.0" },
{ arg = "port", default = "9000" },
]
cmd = "vllm serve --host {{host}} --port {{port}} {{model}} --max_model_len {{maxlen}} --api-key {{api_key}} --gpu-memory-utilization {{memory}} --cpu-offload-gb {{offload}}"
[dependencies]
python = "3.12.*"
[pypi-dependencies]
torch = { version = "*", index = "https://download.pytorch.org/whl/cu128" }
torchvision = { version = "*", index = "https://download.pytorch.org/whl/cu128" }
vllm = ">=0.10"Let’s test it out:
➜ pixi run serve
✨ Pixi task (serve): vllm serve --host 0.0.0.0 --port 9000 ibm-granite/granite-4.0-micro --max_model_len 64K --api-key cqls-test-api --gpu-memory-utilization 0.95 --cpu-offload-gb 0 INFO 11-12 00:09:07 [__init__.py:216] Automatically detected platform cuda.
(APIServer pid=706212) INFO 11-12 00:09:10 [api_server.py:1839] vLLM API server version 0.11.0
(APIServer pid=706212) INFO 11-12 00:09:10 [utils.py:233] non-default args: {'model_tag': 'ibm-granite/granite-4.0-micro', 'host': '0.0.0.0', 'port': 9000, 'api_key': ['cqls-test-api'], 'model': 'ibm-granite/granite-4.0-micro', 'max_model_len': 65536, 'gpu_memory_utilization': 0.95}
(APIServer pid=706212) INFO 11-12 00:09:11 [model.py:547] Resolved architecture: GraniteMoeHybridForCausalLM
(APIServer pid=706212) `torch_dtype` is deprecated! Use `dtype` instead!
(APIServer pid=706212) WARNING 11-12 00:09:11 [model.py:1682] Your device 'Tesla T4' (with compute capability 7.5) doesn't support torch.bfloat16. Falling back to torch.float16 for compatibility.➜ xh cqls-gpu4.hpc.oregonstate.edu:9000/v1/responses -A bearer -a cqls-test-api model=ibm-granite/granite-4.0-micro 'input=Define "mitochondria"' | jq -r '.output[0].content[0].text'
Mitochondria are organelles found in eukaryotic cells. They are often referred to as the "powerhouse" of the cell
because they play a crucial role in energy production. The primary function of mitochondria is to generate adenosine
triphosphate (ATP), the energy currency of the cell, through a process known as oxidative phosphorylation.
Besides their role in energy production, mitochondria are also involved in other cellular processes such as regulation
of the cell cycle, cell signaling, and cellular respiration. They contain their own DNA, which is distinct from the DNA
found in the nucleus of the cell, and can replicate independently.
Furthermore, mitochondria play a key role in programmed cell death (apoptosis) and are involved in the control of the
cell's lifespan. Any dysfunction or damage to the mitochondria can lead to various health issues, including
neurodegenerative diseases, muscular dystrophy, and metabolic disorders.
The Challenge: Deploying high-performance inference engines like vLLM involves managing a fragile ecosystem of GPU drivers, CUDA versions, and specific PyPI packages, which is a major barrier to production use.
Pixi’s Solution: Pixi creates a reproducible “recipe” for the entire serving environment. It precisely manages the CUDA system requirements, resolves the Conda/PyPI dependency tree, and provides a simple, unified interface for execution.
Simplified Operations: pixi tasks abstract away complex vllm serve commands, turning a long, error-prone command into a simple pixi run serve. This makes the model server easy to launch for any user.
The Real Impact
Pixi bridges the gap between local AI experimentation and production-grade deployment. It empowers researchers to stand up and manage powerful AI inference servers without needing to be expert system administrators.
Our HPC documentation is extensive, but users often struggle to find the exact information they need. We wanted to build a custom AI assistant to answer questions using our own knowledge base.
This required a Retrieval-Augmented Generation (RAG) pipeline, which involves several complex components:
LanceDB) to store our embeddings for documentation and SQL (sqlite) to store the contents.vLLM-served) to generate answers.Agno) to tie everything together and serve it via an API.Managing this stack of modern Python libraries creates a significant development challenge.
Pixi provides a robust foundation for building and managing a full-fledged Python application like this RAG pipeline.
pyproject.toml file, Pixi integrates directly into the standard Python ecosystem, making the project familiar to any Python developer.python), PyPI (lancedb, vllm), and even local, editable installs of our own code.pixi run ingest-docs to update the knowledge base or pixi run serve to launch the application, without needing to remember the underlying commands.pixipixi init --format pyproject cqls-hpc-website-kb
cd cqls-hpc-website-kb
... Develop your code and add dependencies, resulting in:
➜ lsd --tree
.
├── kb ⇒ ../cqls-hpc-website/knowledge_base
├── pixi.lock
├── pyproject.toml
├── src
│ └── cqls_hpc_website_kb
│ ├── __init__.py
│ ├── agent.py
│ ├── app.py
│ ├── db.py
│ ├── embedder.py
│ ├── ingest.py
│ └── reader
│ ├── __init__.py
│ └── mkdocs.py
├── test_agent.py
├── test_knowledge.py
└── tunnelpixi.toml, you can use a pyproject.toml which allows development of python codepixi run python -m cqls_hpc_website_kb ... for testing the project during development[project]
authors = [{name = "Edward Davis", email = "ed@cqls.oregonstate.edu"}]
dependencies = ["lancedb>=0.25.2,<0.26", "openai>=2.7.1,<3", "agno[sql]>=2.2.10,<3", "python-dotenv>=1.2.1,<2", "vllm>=0.10.0,<0.12", "pandas>=2.3.3,<3", "tantivy>=0.25.0,<0.26", "beautifulsoup4>=4.14.2,<5", "chonkie[st]>=1.4.1,<2", "ag-ui-protocol>=0.1.10,<0.2"]
name = "cqls-hpc-website-kb"
requires-python = ">= 3.12"
version = "0.1.0"
[tool.pixi.system-requirements]
cuda = "12.0"
[build-system]
build-backend = "hatchling.build"
requires = ["hatchling"]
[tool.pixi.workspace]
channels = ["conda-forge", "bioconda"]
platforms = ["linux-64"]
[tool.pixi.pypi-dependencies]
cqls_hpc_website_kb = { path = ".", editable = true }
torch = { version = "*", index = "https://download.pytorch.org/whl/cu128" }
torchvision = { version = "*", index = "https://download.pytorch.org/whl/cu128" }
[tool.pixi.tasks]
ingest-docs = "python -m cqls_hpc_website_kb.ingest"
serve = "python -m cqls_hpc_website_kb.app"Tip
Check out this page to find out more about using pixi and Python together.

mkdocs"""
MkDocs hook for building agno knowledge base with change detection.
Add this to your mkdocs.yml:
hooks:
- hooks/build_knowledge_base.py
Configuration in mkdocs.yml:
extra:
agno_knowledge:
enabled: true
output_dir: knowledge_base
"""
import hashlib
import json
import logging
from pathlib import Path
from typing import Dict, Optional, Set
from mkdocs.config.defaults import MkDocsConfig
from mkdocs.structure.files import Files
from mkdocs.structure.pages import Page
log = logging.getLogger("mkdocs")
def compute_content_hash(content: str) -> str:
"""Compute SHA256 hash of content for change detection."""
return hashlib.sha256(content.encode('utf-8')).hexdigest()
class KnowledgeBaseBuilder:
"""
Builds a knowledge base from MkDocs pages with change tracking.
Uses content hashing to detect changes and only updates modified pages.
This eliminates the need for expensive re-embedding of unchanged content.
"""
def __init__(self):
self.pages_data: Dict[str, Dict] = {} # URL -> page data
self.config: Optional[MkDocsConfig] = None
self.site_url: str = ""
self.output_dir: Path = Path("knowledge_base")
self.cache_file: Path = Path(".mkdocs_kb_cache.json")
self.cached_hashes: Dict[str, str] = {} # URL -> content hash
self.changed_pages: Set[str] = set()
self.deleted_pages: Set[str] = set()
def on_config(self, config: MkDocsConfig) -> MkDocsConfig:
"""Initialize configuration and load cache."""
self.config = config
self.site_url = config.get("site_url", "").rstrip("/")
extra = config.get("extra", {})
self.kb_config = extra.get("agno_knowledge", {})
self.enabled = self.kb_config.get("enabled", True)
if output_dir := extra.get("output_dir", ""):
self.output_dir = Path(output_dir)
if not self.enabled:
return config
# Load existing cache
if self.cache_file.exists():
try:
with open(self.cache_file, "r") as f:
cache_data = json.load(f)
self.cached_hashes = cache_data.get("hashes", {})
log.info(f"Loaded cache with {len(self.cached_hashes)} entries")
except Exception as e:
log.warning(f"Failed to load cache: {e}")
self.cached_hashes = {}
log.info("Agno Knowledge Base builder enabled with change detection")
return config
def on_page_content(
self, html: str, page: Page, config: MkDocsConfig, files: Files
) -> str:
"""Process page and detect changes using content hashing."""
if not self.enabled:
return html
page_url = page.url
if self.site_url:
full_url = f"{self.site_url}/{page_url}"
else:
full_url = page_url
if "cqls/presentations/" in full_url:
log.debug(f"Skipping presentations page: {full_url}")
return html
# Compute hash of markdown content
if page.markdown is not None:
content_hash = compute_content_hash(page.markdown)
else:
content_hash = None
# Check if content changed
cached_hash = self.cached_hashes.get(full_url)
if cached_hash is None:
log.info(f"New page: {page.title} {full_url}")
elif cached_hash != content_hash:
log.info(f"Modified page: {page.title} {full_url}")
self.changed_pages.add(full_url)
else:
log.debug(f"Unchanged page: {page.title} {full_url}")
# Store page data
page_data = {
"id": full_url,
"url": full_url,
"title": page.title or "",
"content": page.markdown,
"html": html,
"content_hash": content_hash,
"meta": {
"url": full_url,
"title": page.title or "",
"file_path": str(page.file.src_path),
"is_homepage": page.is_homepage,
"is_section": page.is_section,
"is_page": page.is_page,
"is_top_level": page.is_top_level,
"is_api": "hpcman/api" in full_url
},
}
# if hasattr(page, "meta") and page.meta:
# page_data["meta"]["frontmatter"] = page.meta
self.pages_data[full_url] = page_data
return html
def on_post_build(self, config: MkDocsConfig) -> None:
"""Save data and update cache after build."""
if not self.enabled or not self.pages_data:
return
# Detect deleted pages
current_urls = set(self.pages_data.keys())
cached_urls = set(self.cached_hashes.keys())
self.deleted_pages = cached_urls - current_urls
if self.deleted_pages:
log.info(f"Deleted pages: {len(self.deleted_pages)}")
# Create output directory
self.output_dir.mkdir(parents=True, exist_ok=True)
# Save full content (for initial load or reference)
full_output = self.output_dir / "mkdocs_content.json"
with open(full_output, "w", encoding="utf-8") as f:
json.dump(
{
"site_name": config.get("site_name", ""),
"site_url": self.site_url,
"pages": list(self.pages_data.values()),
},
f,
indent=2,
ensure_ascii=False,
default=str,
)
# Save incremental changes (only changed/new pages)
if self.changed_pages:
changes_output = self.output_dir / "mkdocs_changes.json"
changed_pages_data = [
self.pages_data[url] for url in self.changed_pages
]
with open(changes_output, "w", encoding="utf-8") as f:
json.dump(
{
"changed_pages": changed_pages_data,
"deleted_pages": list(self.deleted_pages),
},
f,
indent=2,
ensure_ascii=False,
default=str,
)
log.info(f"Saved {len(self.changed_pages)} changed pages")
# Update cache
new_cache = {
"hashes": {
url: data["content_hash"]
for url, data in self.pages_data.items()
}
}
with open(self.cache_file, "w") as f:
json.dump(new_cache, f, indent=2)
# Summary
log.info(
f"Knowledge base updated: "
f"{len(self.pages_data)} total, "
f"{len(self.changed_pages)} changed, "
f"{len(self.deleted_pages)} deleted"
)
# Singleton instance
_kb_builder = KnowledgeBaseBuilder()
# Hook functions
def on_config(config: MkDocsConfig, **kwargs) -> MkDocsConfig:
return _kb_builder.on_config(config)
def on_page_content(html: str, page: Page, config: MkDocsConfig, files: Files, **kwargs) -> str:
return _kb_builder.on_page_content(html, page, config, files)
def on_post_build(config: MkDocsConfig, **kwargs) -> None:
_kb_builder.on_post_build(config)"""
Custom reader for loading MkDocs content into Agno with incremental updates.
This reader supports both full loads and incremental updates based on
change detection from the MkDocs hook.
"""
import json
from dataclasses import dataclass
from pathlib import Path
# from agno.knowledge.chunking.semantic import SemanticChunking
# from cqls_hpc_website_kb.embedder import get_embedder
# from agno.knowledge.chunking.agentic import AgenticChunking
# from cqls_hpc_website_kb.agent import get_model
from agno.knowledge.chunking.strategy import ChunkingStrategy, ChunkingStrategyType
from agno.knowledge.document.base import Document
from agno.knowledge.reader.base import Reader
from agno.knowledge.types import ContentType
from agno.utils.log import log_debug, logger
from bs4 import BeautifulSoup as html_parser
from agno.knowledge.chunking.recursive import RecursiveChunking
@dataclass
class MkDocsReader(Reader):
"""
Reader for MkDocs documentation with incremental update support.
This reader loads content from the MkDocs hook output and supports
incremental updates to avoid re-processing unchanged pages.
Args:
chunking_strategy: Optional chunking strategy (None recommended for docs)
use_html: If True, use HTML. If False, use markdown (default)
incremental: If True, only process changed pages (default True)
"""
use_html: bool = False
incremental: bool = True
# semantic_chunker = SemanticChunking(embedder = get_embedder())
# agentic_chunker = AgenticChunking(model=get_model())
skip_api_docs: bool = True
def __init__(
self,
chunking_strategy: ChunkingStrategy = RecursiveChunking(chunk_size=5000, overlap=500),
use_html: bool = True,
incremental: bool = True,
skip_api_docs: bool = True,
**kwargs,
):
super().__init__(chunking_strategy=chunking_strategy, **kwargs)
self.use_html = use_html
self.incremental = incremental
self.skip_api_docs = skip_api_docs
@classmethod
def get_supported_chunking_strategies(cls) -> list[ChunkingStrategyType]:
"""Supported chunking strategies (though not recommended for docs)."""
return [
ChunkingStrategyType.AGENTIC_CHUNKER,
ChunkingStrategyType.DOCUMENT_CHUNKER,
ChunkingStrategyType.RECURSIVE_CHUNKER,
ChunkingStrategyType.SEMANTIC_CHUNKER,
ChunkingStrategyType.FIXED_SIZE_CHUNKER,
ChunkingStrategyType.MARKDOWN_CHUNKER,
]
@classmethod
def get_supported_content_types(cls) -> list[ContentType]:
return [ContentType.JSON]
def _process_page(self, page: dict, site_name: str) -> list[Document]:
"""Process a single page into documents."""
if self.use_html:
html = html_parser(page.get("html"), "html.parser")
content = html.get_text(strip=True, separator=" ").replace("\n", " ")
else:
content = page.get("content")
if not content:
logger.warning(f"No content for page: {page.get('title')}")
return []
if self.skip_api_docs and page.get("meta", {}).get("is_api", False) or page.get("meta", {}).get("skip", False):
logger.info(f"Skipping page: {page.get('title')}")
return []
doc = Document(
name=page.get("title", site_name),
id=page["id"],
meta_data=page["meta"],
content=content,
)
if self.chunk:
logger.info(f"Chunking: {doc.name} (ID: {doc.id})")
return self.chunk_document(doc)
return [doc]
def read(self, obj: str, name: str | None = None, password: str | None = None) -> list[Document]:
"""
Read MkDocs content with support for incremental updates.
Args:
path: Path to knowledge_base directory (not the JSON file)
name: Optional name override
Returns:
List of documents (full or incremental based on incremental flag)
"""
path_obj = Path(obj)
# Handle both directory and file paths
if path_obj.is_file():
content_dir = path_obj.parent
content_file = path_obj
else:
content_dir = path_obj
content_file = content_dir / "mkdocs_content.json"
if not content_file.exists():
raise FileNotFoundError(
f"MkDocs content not found: {content_file}\n"
"Run 'mkdocs build' first."
)
# Load full content
with open(content_file, "r", encoding="utf-8") as f:
data = json.load(f)
site_name = name or data.get("site_name", "MkDocs Site")
# Check for incremental updates
changes_file = content_dir / "mkdocs_changes.json"
if self.incremental and changes_file.exists():
log_debug("Using incremental update mode")
with open(changes_file, "r", encoding="utf-8") as f:
changes = json.load(f)
changed_pages = changes.get("changed_pages", [])
deleted_ids = set(changes.get("deleted_pages", []))
if not changed_pages and not deleted_ids:
log_debug("No changes detected")
return []
log_debug(
f"Processing {len(changed_pages)} changed pages, "
f"{len(deleted_ids)} deletions"
)
documents = []
for page in changed_pages:
documents.extend(self._process_page(page, site_name))
# Store deletion info for downstream processing
if deleted_ids and documents:
# Add deletion metadata to first document
documents[0].meta_data["_deleted_ids"] = list(deleted_ids)
return documents
else:
# Full load
log_debug(f"Loading full knowledge base: {len(data.get('pages', []))} pages")
pages = data.get("pages", [])
documents = []
for page in pages:
documents.extend(self._process_page(page, site_name))
logger.info(f"Loaded {len(documents)} documents")
return documents
def get_deleted_ids(self, path: str) -> set[str]:
"""
Get list of deleted page IDs.
This is useful for removing documents from the vector DB.
"""
path_obj = Path(path)
if path_obj.is_file():
changes_file = path_obj.parent / "mkdocs_changes.json"
else:
changes_file = path_obj / "mkdocs_changes.json"
if not changes_file.exists():
return set()
with open(changes_file, "r", encoding="utf-8") as f:
changes = json.load(f)
return set(changes.get("deleted_pages", []))from agno.knowledge.embedder.vllm import VLLMEmbedder
from dotenv import load_dotenv
import os
import logging
logging.basicConfig(level=logging.INFO, format='%(asctime)s - %(name)s - %(levelname)s - %(message)s')
logger = logging.getLogger(__name__)
# Load environment variables from .env file
load_dotenv()
# Access the environment variables
# Retrieve environment variables with safe defaults
embedding_model = os.getenv("EMBEDDING_MODEL", "")
# Convert dimension to int safely; fallback to 0 on error
_dim_str = os.getenv("EMBEDDING_DIM")
try:
embedding_dim = int(_dim_str) if _dim_str is not None else 0
except (ValueError, TypeError):
embedding_dim = 0
embedding_api_key = os.getenv("EMBEDDING_BINDING_API_KEY", "")
embedding_host = os.getenv("EMBEDDING_BINDING_HOST", "")
def get_embedder() -> VLLMEmbedder:
logger.info("Embedding model: %s", embedding_model)
logger.info("Embedding dimension: %s", embedding_dim)
logger.info("Embedding host: %s", embedding_host)
return VLLMEmbedder(
id=embedding_model,
dimensions=embedding_dim,
base_url=embedding_host,
api_key=embedding_api_key,
)#!/usr/bin/env python3
from pathlib import Path
from agno.knowledge.knowledge import Knowledge
from agno.vectordb.search import SearchType
from agno.vectordb.lancedb import LanceDb
from agno.vectordb.base import VectorDb
from agno.db.sqlite import SqliteDb
from agno.db import BaseDb
from .embedder import get_embedder
VECTOR_DB_DIR = "/scratch/davised/lancedb"
def get_vector_db(db_path = Path(VECTOR_DB_DIR), hybrid: bool = True) -> VectorDb:
db_path.mkdir(mode=0o750, parents=True, exist_ok=True)
if hybrid:
table_name = "mkdocs_docs_hybrid"
search_type = SearchType.hybrid
else:
table_name = "mkdocs_docs"
search_type = SearchType.vector
return LanceDb(
table_name=table_name,
uri=db_path.as_posix(),
embedder=get_embedder(),
search_type=search_type,
)
def get_storage_db(session_table="agent_sessions", knowledge_table="kb_contents") -> BaseDb:
return SqliteDb(
session_table=session_table,
knowledge_table=knowledge_table,
db_file="/scratch/davised/sessions.db",
)
def get_knowledge() -> Knowledge:
return Knowledge(vector_db=get_vector_db(), contents_db=get_storage_db())from .db import get_knowledge
from .reader.mkdocs import MkDocsReader
KB_PATH = "kb/mkdocs_content.json"
def update_docs_knowledge(kb_path=KB_PATH):
reader = MkDocsReader(incremental=True)
knowledge = get_knowledge()
kb_path = kb_path
knowledge.add_content(path=kb_path, reader=reader, upsert=True)
# Need to implement deletions
deleted_ids = reader.get_deleted_ids(kb_path)
print("Knowledge base updated!")
if __name__ == "__main__":
update_docs_knowledge()import logging
import os
from dotenv import load_dotenv
from agno.agent import Agent
from agno.models.vllm import VLLM
from agno.run.agent import RunOutput
from .db import get_knowledge
logging.basicConfig(level=logging.INFO, format='%(asctime)s - %(name)s - %(levelname)s - %(message)s')
logger = logging.getLogger(__name__)
load_dotenv()
model = os.getenv("LLM_MODEL", "")
api_key = os.getenv("LLM_BINDING_API_KEY", "")
host = os.getenv("LLM_BINDING_HOST", "")
def get_model() -> VLLM:
return VLLM(id=model, api_key=api_key, base_url=host, temperature=0)
def get_docs_agent(stream: bool = True) -> Agent:
logger.info("Agent model: %s", model)
logger.info("Agent host: %s", host)
return Agent(
name="Docs Assistant",
model=get_model(),
stream=stream,
introduction="You are an expert on the Wildwood HPC at Oregon State University Documentation Site. You were built by the Center for Quantitative Life Sciences (CQLS), including Ed Davis, Bioinformatics Manager.",
role="Helpful HPC Documentation Assistant",
expected_output=" ".join(
[
"Provide accurate answers based on the knowledge available from the website in the <references> section."
"If you cannot determine an adequate answer, include 'Contact [Support](mailto:support@cqls.oregonstate.edu) for help outside this guide.' as part of your response.",
"After providing an answer, include citations at the end of the response, when applicable. See the <citations> section for more details."
]
),
additional_context=" ".join(
[
"<citations>You can find the title and url in the metadata of each reference. For example, if a reference has the following metadata:",
"meta_data: {'url': 'https://docs.hpc.oregonstate.edu/cqls/connecting', 'title': 'Connecting', ...}",
"You would cite it as: [Connecting](https://docs.hpc.oregonstate.edu/cqls/connecting).",
"If multiple references are used, list them all at the end of your answer, e.g.:",
"**References:**\n- [Title1](url1)\n- [Title2](url2)</citations>"
]
),
knowledge=get_knowledge(),
add_knowledge_to_context=True,
search_knowledge=False,
markdown=True
)
def fix_markdown_spacing(run_output: RunOutput, **kwargs) -> None:
"""
Agno post-hook to correct spacing in markdown links.
Currently, the instructions in the additional_context are enough to resolve these issues.
This function finds instances of "] (" and replaces them with "]("
in the `content` attribute of the `run_output` object.
Args:
run_output: The output object from the agent run.
**kwargs: Catches any other parameters passed by the hook runner.
"""
if isinstance(run_output.content, str):
# Perform the replacement on the content attribute
run_output.content = run_output.content.replace("] (", "](")from agno.os import AgentOS
from agno.os.interfaces.agui import AGUI
from .agent import get_docs_agent
from dotenv import load_dotenv
from fastapi.middleware.cors import CORSMiddleware
import logging
import os
load_dotenv()
logging.basicConfig(level=logging.INFO)
log = logging.getLogger(__name__)
port = int(os.getenv("AGENT_OS_PORT", "7777"))
if dev_key := os.getenv("OS_DEV_KEY"):
log.info("Using development security key for AgentOS.")
os.environ["OS_SECURITY_KEY"] = dev_key
agent_os = AgentOS(
id="cqls-hpc-website-kb-os",
description="CQLS Wildwood HPC Documentation Assistant OS",
agents=[get_docs_agent(stream=True)],
interfaces=[AGUI(get_docs_agent())],
)
app = agent_os.get_app()
# Define the list of "origins" (websites) that are allowed to connect.
# You need your local dev server now, and you'll need your production domain later.
origins = [
"http://localhost:5173",
"http://localhost:43723",
"http://10.224.64.50:43723",
"http://web1.hpc.oregonstate.edu:43723",
"https://docs.hpc.oregonstate.edu",
]
app.add_middleware(
CORSMiddleware,
allow_origins=origins, # Allow specific origins
allow_credentials=True,
allow_methods=["*"], # Allow all methods (GET, POST, etc.)
allow_headers=["*"], # Allow all headers (including Authorization)
)
if __name__ == "__main__":
# Default port is 7777; change with port=...
agent_os.serve(app="cqls_hpc_website_kb.app:app", reload=True, host="0.0.0.0", port=port)mkdocs site┏━ Response (114.1s) ━━━━━━━━━━━━━━━━━━━━━━━━━━━━━━━━━━━━━━━━━━━━━━━━━━━━━━━━━━━━┓
┃ ┃
┃ To connect to the Wildwood HPC cluster using SSH, follow these steps: ┃
┃ ┃
┃ 1 Generate an SSH Key (Optional but Recommended): ┃
┃ • On your local machine, generate an SSH key pair if you haven't already. ┃
┃ This will allow you to log in without entering your ONID password every ┃
┃ time. ┃
┃ • Run the following command to generate an RSA SSH key: ┃
┃ ┃
┃ ssh-keygen -t rsa -b 4096 ┃
┃ ┃
┃ • Press Enter to accept the default file location (~/.ssh/id_rsa). ┃
┃ • Optionally, enter a passphrase for added security. ┃
┃ 2 Connect to the Wildwood HPC Cluster: ┃
┃ • If you are on campus or connected to the VPN, use the following command ┃
┃ to connect directly to the Wildwood HPC cluster: ┃
┃ ┃
┃ ssh hpc.cqls.oregonstate.edu ┃
┃ ┃
┃ • Replace hpc.cqls.oregonstate.edu with the appropriate hostname if ┃
┃ necessary. ┃
┃ 3 Connecting from Off-Campus: ┃
┃ • If you are connecting from an off-campus location, you need to connect ┃
┃ through a gateway machine called shell.hpc.oregonstate.edu. ┃
┃ • Use the following command to connect: ┃
┃ ┃
┃ ssh shell.hpc.oregonstate.edu ┃
┃ ┃
┃ • Then, from the shell.hpc.oregonstate.edu machine, connect to the ┃
┃ Wildwood HPC cluster: ┃
┃ ┃
┃ ssh hpc.cqls.oregonstate.edu ┃
┃ ┃
┃ 4 Using SSH Config for Simplified Connection: ┃
┃ • For a more streamlined connection process, add the following lines to ┃
┃ your ~/.ssh/config file: ┃
┃ ┃
┃ Host shell ┃
┃ HostName shell.hpc.oregonstate.edu ┃
┃ User ONIDUSER ┃
┃ ControlMaster auto ┃
┃ ControlPath ~/.ssh/sockets/%r@%h-%p ┃
┃ ControlPersist 600 ┃
┃ TCPKeepAlive no ┃
┃ ServerAliveInterval 30 ┃
┃ ┃
┃ Host hpc ┃
┃ HostName hpc.cqls.oregonstate.edu ┃
┃ User ONIDUSER ┃
┃ ProxyJump shell ┃
┃ ControlMaster auto ┃
┃ ControlPath ~/.ssh/sockets/%r@%h-%p ┃
┃ ControlPersist 600 ┃
┃ TCPKeepAlive no ┃
┃ ServerAliveInterval 30 ┃
┃ ┃
┃ • Replace ONIDUSER with your ONID username. ┃
┃ 5 Accessing Files: ┃
┃ • For large file transfers, use files.hpc.oregonstate.edu. ┃
┃ • Use sftp or scp to transfer files: ┃
┃ ┃
┃ sftp files.hpc.oregonstate.edu ┃
┃ ┃
┃ • For submitting jobs from the web to the infrastructure, use ssh and a ┃
┃ CLI tool like wget or curl: ┃
┃ ┃
┃ ssh files.hpc.oregonstate.edu wget https://... ┃
┃ ┃
┃ ┃
┃ References: ┃
┃ ┃
┃ • Connecting to the Wildwood HPC cluster ┃
┃ • New User 'onboarding' / FAQs ┃
┃ ┃
┗━━━━━━━━━━━━━━━━━━━━━━━━━━━━━━━━━━━━━━━━━━━━━━━━━━━━━━━━━━━━━━━━━━━━━━━━━━━━━━━━┛
The Challenge: Building modern AI applications requires integrating a complex web of libraries, models, and services. Managing the development environment and the operational workflow is a major hurdle.
Pixi’s Solution: Pixi acts as a unified toolchain for the entire software development lifecycle. By integrating with pyproject.toml, it provides a standard Python development experience while handling the complex, mixed-dependency environment under the hood.
From Development to Deployment: pixi tasks create a consistent and simple interface for complex operations like data ingestion and application serving. This makes the transition from a developer’s machine to a production server much smoother.
Introducing a new tool works best with a deliberate, phased approach.
Recommendations for Research Groups:
Our Experience at CQLS
We’ve used pixi to successfully build and validate over 250 software environments. Multiple research groups on our HPC have independently adopted it with positive results.
The goal is to provide researchers with more reliable and efficient options, allowing them to focus on their primary objectives.
Key takeaways:
The Real Impact
The CQLS uses pixi to reduce the cognitive overhead of environment management, which improves our users’ ability to focus on science rather than installation issues.

Oregon State University - 2025